最神奇的结论,我不知道,但是神奇的结论可就多了去了。
我按照神奇度依次递增的顺序来给出各种千奇百怪的结论,以下是脑洞大开的时刻:
1、存在无理数的无理数次方是有理数吗?
废话,肯定存在。例如,我们来考虑

很明显很明显

等于2是有理数了;
但是对于更一般的情况下判断任意给一个无理数的无理数次方是有理数还是非常难的,目前没有更有效的方法。
2、圆周率π
圆周率
本身是无理数,而且更神奇的是你的生日、银行卡号、学号、身份证号等可能就包含在圆周率中的某一段中;
但是这还不是更神奇的事情。
更神奇的地方是和概率论有着非常密切的关系。最典型的一个例子应该是18世纪法国数学家蒲丰的投针实验,这个实验是这样的:
假设在平坦的地面上画着间距为单位1的平行线,把一根长度为单位1的针随机扔在地上,问这根针与地面的平行线相交的概率为多少。
答案非常出乎意料的是

这个用到微积分的知识。
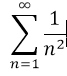
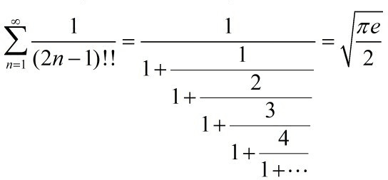
但是这还不是更神奇的事情。更神奇的是,

这个级数的每一项都是有理分式,无数个有理数求和却不是有理数而是无理数,并且这个无理数还和
有关,它居然等于

当然这个公式对于下面这些公式来说还是弱爆了。
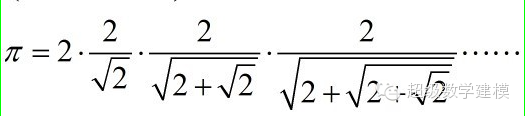
韦达给出了一个超漂亮的式子:

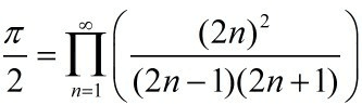
沃利斯也不甘示弱:

更有史上最天才的拉马努金给出的(这个等式规律性非常强有木有):

等等等等有几吨这种美感与智慧并存的结论!!!
这还不是更神奇的事情,更神奇的地方等待着面前的你去发掘!
3、存在一个不等式,它的解在平面上的分布图形长的和该不等式一模一样!!
这个我是在顾森的博客上看到的:2001年,在介绍一种全新的方程图象绘制算法时,塔珀(Jeff Tupper)构造了这样一个有趣的不等式:

对于某个n,图象在0<=x<=106,n<=y<=n+17的范围内它的解的分布图形是:

有木有长的一模一样!!有木有长的一模一样!!
4、在有些空间中,收敛序列可能不止收敛于一个点!
在潜意识里,任给一个收敛序列,它的收敛点只有一个,比如给一个序列它的通项为

它只收敛于自然底数e。
然而在我们的宇宙中,收敛并不是这么简单,以上序列之所以只收敛于一个点是因为它是限制在实数空间中,除了实数空间,宇宙还包含了各种闻所未闻见所未见的空间。
在拓扑学中对于收敛的定义是这样:对于数列{Xn}来说,当n足够大时,x的每一个领域都包含着Xn,那么x就是Xn的收敛点。
所以举一个简单的例子,平庸空间中的任何序列都收敛,更奇葩的是还收敛于这个空间中的任何一个点,由此还可以推出任何序列都收敛自身中的任何一个点,多么不可思议!
5、给一个简单的猜想
这里有一个很有趣的一个问题:
从任给一个正整数开始,如果这个数是偶数,把它除以2;如果是奇数,则乘以3再加1,依次下去进行有限步,最后一定等于1。
这个操作起来蛮简单,但是至今无人能证明,透露一下它的难度和“1+1”是一样的!
关于这个猜想有一个很逗的事情,它的广为人知离不开日本的一位数学家角谷,所以该猜想也称角谷猜想(尽管这不是角谷提出来的,所以这个猜想有很多名字科拉兹猜想、叙拉古猜想、哈斯算法、乌拉姆问题and so on。。。。。说白了,你要是对传播这个猜想有比较大的贡献也可以以你的名字命名,最后名字太多了,国际统一将它称为3x+1问题了,所以错过了一次以自己名字命名问题的机会哈哈哈哈哈哈),当时角谷拿到这个问题后,前鼓后捣地搞出了一些名堂,然后就带着自己的这些成果奔到美国常春藤作报告。
然后常春藤的师生听到这么简单的问题居然还没人能解决,于是信心满满的都去搞这个去了,然而几个月过去他们师生还在沉迷这个问题,其它研究也不做,美国开始胡思乱想认为这个问题是拖慢国家数学进程的毒瘤于是禁止研究它了,于是这股热流在美国渐渐消减,现在关注的人也不多了。
one more thing
数学中神奇的结论太多了,还有很多炒鸡神奇的结论定理,由于太高深以后有机会再慢慢补充吧~
作者:Matrixor