文章资料-情感.机器.认知-电子AI 游客
三体问题2
【60542】by1 2022-12-12 最后编辑2022-12-12 14:15:12 浏览605

再把代入,就会发现关于的二次项也会消掉,只剩下一个可以轻松解出的三次项

#

图片

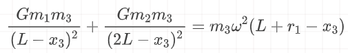
类似,列出向心运动方程

图片


做传统艺能,,解得

在这种小量近似下,非常优美。

#

图片

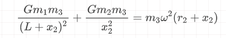
这次我们选取的参考点不在地球,而是在相对于的对侧

图片

做传统艺能,,,解得


#cruboy