文章资料-情感.机器.认知-电子AI 游客
欧拉:1分钟解决e^π和π^e谁大的问题!
【6055】by1 2023-07-27 最后编辑2023-07-27 10:46:14 浏览799
鉴于常常有人在后台问超模君,e和π为什么常常会出现在似乎不相关的领域?e和π之间有什么联系吗?e^π和π^e谁大?之类的问题。


今天超模君就给大家扒一扒e和π。


e的出身


说到e,又得提欧拉了,哪哪都有他,真是一个神奇的男子。自然数e正是以
Leonhard Euler(莱昂纳德·欧拉)命名的,取的是Euler的首字母“e ”。

图片

但,事实上第一个发现e的人不是欧拉,而是雅可比·伯努利(Jacob Bernoulli),伯努利是不是很熟悉?

在17~18世纪,伯努利家族是一个学术世家,雅可比·伯努利是约翰·伯努利(Johann Bernoulli)的哥哥,而约翰·伯努利则是欧拉的数学老师。

图片

扯远了,我们回到e。要去理解e的话,我们可以从生活中常见的例子讲起,就是银行利率与收益的问题。

假如你有1块钱存入银行,银行同意付给你100%的年利率。

那么当然到了一年后,你手里的钱就增长为(1+100%)=2块钱;

现银行同意按复利计算,把一年期的年利率拆成两个半年期利率50%,那么年底到手的钱为:(1+50%)×(1+50%)=2.25块钱;

现银行按照季度计算复利,那么年底到手的钱为:(1+25%)×(1+25%)×(1+25%)×(1+25%)=2.44块钱;

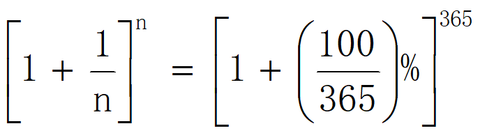
我们可以看到分的越细,总收入越多。如果把这个复利计算过程继续细分,按天算,年底到手的钱为:

图片

如果在细分为时分秒呢?经过迭代运算,可以得到一下数值:

图片

可以发现结算利率期数n越大,年底到手的钱越多,最终无限接近e值。

也就是说,本金一块钱定了,银行的年利率(100%)定了,无论分多少期结算利息,年底到手的钱无限接近一个值(2.7183)。

e的本质含义就是累积增长的极限,e写成高等数学微积分的形式,也是e的定义式为:

图片


π的出身


说到圆周率就简单了,不就是圆的周长和直径的比值嘛。

圆周率π最早提出来是在1748年,欧拉的代表作《无穷小分析引论》出版,在这本著作里,欧拉建议用符号“π”来表示圆周率,并且直接在里面使用了π。在欧拉的积极倡导下,π才成为了圆周率的代名词。

图片

这会又说到欧拉,请给我5秒钟,容我恰个饭。

图片
点击图片即可立即购买

广告时间结束,话说回来!虽然π的定义很简单,但是关于圆周率的计算却历经了几千年,都还没有算到尽头呀。

关于圆周率的计算方法五花八门,甚至到了无奇不有的境界(超模君在以前盘点过的算法传送门)

图片

说到圆周率还有一个不得不提的人,就是我国的数学家祖冲之。

公元480年左右,南北朝时期的数学家祖冲之进一步得出精确到小数点后7位的结果,给出不足近似值3.1415926和过剩近似值3.1415927。正确位数达7位数,在那个时候可以说是非常精准,在之后的900多年都没人打破记录。

图片

祖冲之牛批!


e和π的那些事儿


讲完了e和π的出身了,那么e个π之间是否存在什么关系呢?

毕竟有时候会出现这样的现象:带e的定积分积出来里头有π,而三角函数的积分有一些积出来里头有e。

其实e和π在本质上是没有任何关系的。

之所以出现“带e的定积分积出来里头有π,而三角函数的积分有一些积出来里头有e”这种情况,是因为傅里叶展开与e有关的函数,如e^x或者lnx在傅立叶展开后都可以变成一个三角函数的级数,只要取好合适的积分区间自然会出现π。

加上欧拉用了一条公式把它们巧妙地连接在一起,那条公式就是非常出名的欧拉公式:e^(iπ)+1=0。这让很多人误以为,e和π本来就存在着某种关系。

图片

也有人会不解:为什么e和π会常常出现在那些似乎不太相关的学科呢?比如说物理化学等学科。

那是因为涉及到微积分和指数对数的运算,e和π都喜欢来凑热闹。高斯曾经说过,数学是科学之王。王自然掌控这一切,数学掌控着科学。


e^π 和π^e哪个大?


说到了e和π,自然逃不掉e^π和π^e哪个大的问题。

超模君也准备了好几个比较的方法,最简单的方法当然是计算器啦,拿出你的科学计算器,输入e^π和π^e,即可得到对应的值:

图片

显然,e^π要大于π^e。

好了,今天就讲到这了,别闹,超模君才不会这么小儿科的方法了,下面给大家展示一下逼格稍微高一点的解题方法:

e的定义法,你看这名字,逼格就上来了,顾名思义,用e的定义去解题。
  图片
  图片
 图片
  图片
即 
 图片

这个方法,看起来稍微有点复杂,没有那么好理解。

图片

为了让大伙能看明白,那来个简单的构造函数求导法:
图片
求导得
图片
图片图片严格单调递减,因此

这个方法就容易理解一点了。在对比e^π 和π^e的大小的方法中,取对数求导法才是最简单明了的计算方法。

18世纪,欧拉发现了指数与对数的互逆关系。在1770年出版的一部著作中,欧拉首先使用来定义 图片 ,他指出:“对数源于指数”。

图片

对数曾经和解析几何、微积分被公认是17世纪数学的三大重要成就,许多科学家对对数的提出表示高度的赞扬。

这里的取对数求导法可见一斑。图片

先分别取对数
图片
图片
图片
图片
图片

图片
乍一看,e^π 和π^e的值相差很近,但用简单的加减乘除法根本无法完成大小的比较,对数的出现让这一切变得简单。