自从文明开始以来,人类并不满足于将事件看做互不相关不可理解。他们渴求理解世界的根本秩序。
—— 霍金,《时间简史》
李·斯莫林在《物理学的困惑》一书中写道:“在可能的时候,把过去认为不同的两样事物结合起来,作为一个实体的不同方面——这是科学最大的惊奇和快乐。”
过去,我们经历了许多这样激动人心的时刻。例如,牛顿将掉落的苹果和行星的运行联系在一起;麦克斯韦实现了电、磁和光的统一;爱因斯坦将时间和空间统一成时空;狄拉克将狭义相对论和量子力学联系在一起;温伯格等人则统一了四种基本力中的两种——弱核力和电磁力。每一次的统一,都让我们对自然有了更深刻的理解。
如今,物理学家在追求对自然的统一和连贯的描述中,希望更进一步,能找到一个可以将所有不同现象都连接在一起的“万有理论”。但在实现这个宏伟的目标之前,我们面临的是物理学上空漂浮的朵朵乌云。

宇宙是如何开始的?
当我们提及宇宙时,很容易就把它想象成在时间和空间上都是无限的。但事实却并非如此,随着时间的流逝,那些遥远的星系会逐渐远离我们。这就意味着宇宙正在膨胀。一个自然的推论便是,如果今天的宇宙变得越来越大、越来越冷,那么它可能有一个更小、更热以及更致密的过去。这便是大爆炸理论背后的思想。宇宙大爆炸模型做出了许多跟当时的观测相符的预言,特别是在上个世纪六十年代发现的宇宙微波背景(CMB),为该理论提供了强有力的证据。

当科学家第一次观测到CMB时,他们发现它是完全均匀的,并且在各个方向都有着同样的温度——大约2.7开尔文。随着仪器的进步,科学家观测到了CMB的微小涨落——天空中有些区域的温度高一点,有些区域的温度低一点。CMB温度的变化反映了原始物质密度的微小变化。随着时间的推移,且在引力的作用下,那些密集的区域会变得越来越密集。星系、恒星以及行星也因此诞生。
但是,在大爆炸的框架下,有一些现象是完全无法解释的。例如为什么宇宙各处的温度都一样?宇宙又是为什么如此平坦?如果宇宙早期曾达到如此高的能量,为什么我们没有看到理论所预言的一些高能遗留物(比如磁单极子)?
为了解决这些问题,阿兰·古斯提出了一个革命性的理论:宇宙暴胀。它说的是在宇宙诞生之后,经历了一次指数式的膨胀。但是,暴胀理论也面临着问题。第一个重要的问题需要由观测来回答,即是否有暴胀的直接证据。第二个需要同时由理论和观测来回答,即暴胀的起源之谜。到目前为止,宇宙的起源之谜,依旧是最最基本的大问题。
▶ 解决方案:永恒暴胀、宇宙大反弹、SMASH模型。

为什么宇宙中充满了物质,而不是反物质?
粒子物理学的标准模型是迄今为止最成功的理论之一,它描述了宇宙中的万物,包括已知的所有粒子,以及它们之间是如何相互作用的。但是,标准模型却告诉我们,我们不应该存在。这是因为,根据标准模型的预测,在宇宙大爆炸之后,应该有等量的物质和反物质被创造了出来,这就意味着正反物质的相遇会导致湮灭的发生,从而毁灭了宇宙的形成。但结局很明显,物质赢得了138亿年前的那场宇宙级湮灭之战,因为我还在这里写这篇文章,而你此刻正阅读这篇文章。你、我、行星、恒星、星系……皆在。这是为什么?这个问题是现代物理学中最大的悬念之一。

当物质和反物质相遇时,会发生湮灭,所有的能量都会以光子的形式释放。1968年,物理学家Andrei Sakharov意识到,如果宇宙满足三个条件,那么物质和反物质不对称性就是不可避免的。这三个条件分别是:重子数不守恒、违反C对称(电荷共轭对称)和CP对称(电荷共轭与宇称联合对称性)、以及存在偏离热平衡的相互作用。| 图片来源:RealLifeLore/YouTube
▶ 解决方案:轻子数不对称产生机制、电弱重子数产生机制、Affleck-Dine机制、普朗克/大统一重子数产生机制、非对称暗物质、SMASH模型。

在高能下,三种量子力会统一在一起吗?
我们知道,自然界中有四种基本力——引力、弱核力、电磁力和强核力——在支配着宇宙万物。科学家已经在大约100GeV的高能量之下,利用粒子对撞机实验使电磁力和弱核力统一成“电弱力”。这样的实验模拟了宇宙大爆炸后的兆亿分之一秒(10-12秒)的环境。那么,在更高的能量下,比如在在宇宙诞生后的10-36秒的环境下,电弱力能够与强核力统一在一起吗?科学家想要知道,数学的对称群SU(3)、SU(2)和U(1)——它们分别对应于强核力、弱核力和电磁力——是否可以被纳入到一个更大的对称群中?

电磁力、弱核力、强核力能够在GUT尺度下统一在一起吗?| 图片来源:Symmetry Magazine
▶ 解决方案:SU(5)、SU(10)、SU(6)、E(6)、E(8)等。

相比于其他三种基本力,为什么引力要弱的多?
为什么标准模型中的基本粒子的质量要比普朗克质量小那么多?这个问题就是所谓的“等级问题”。我们似乎可以说粒子物理学是一个等级森严的领域。四种基本力的强度悬殊,由强到弱(即从强核力到引力)形成等级。物理学中的不同质量也形成等级,最顶层的是普朗克质量,最底层的就是真空能量。
从理论上说,标准模型的粒子的质量应当约为普朗克质量,大概在能量1019GeV。但问题是,这比宇宙中已被探测到的质量最大的粒子都要高出17个数量级。特别是希格斯玻色子,它的质量应该非常大,因为它跟如此多的粒子相互作用。

为什么在电弱(下标ew)统一能量尺度与普朗克(下标pl)能量尺度之间存在高达17个数量级的差别。
而我们现在已经知道,希格斯玻色子的质量只有125GeV,这跟普朗克能量尺度相差十几个数量级,而不是理论所期待的在同一个等级。因此,我们要问,为什么粒子的质量是我们现在观测到的质量,而不是接近普朗克质量?
▶ 解决方案:超对称理论、多重宇宙、大额外维度、Relaxion、小希格斯。

爱因斯坦的引力理论如何与量子力学结合?
物理学家一直希望能够将四种基本力统一到一个框架中。特别是当我们谈及宇宙大爆炸或黑洞奇点的时候就会意识到,广义相对论和量子力学必须合二为一才能揭开宇宙更深层的秘密。这样的理论,被称为量子引力理论。
但至今还没有人能够构建一个正确的量子引力理论,其困难之处在于,四种力无法在同一个尺度下运作。特别是引力,目前还没有能有效描述引力在量子尺度下行为的理论。物理学家虽然已经提出了一些量子引力理论的候选者,但它们都面临着无法被检验的困境。

在宇宙早期的高能之下,四种基本力都可以被统一在一起。| 图片来源:symmetry magazine
▶ 解决方案:弦理论/M理论、圈量子引力、因果动态三角剖分、因果集理论、渐进安全引力。

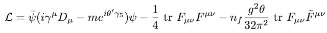
为什么强相互作用不违反CP对称?
试想一下有一个镜像世界,在那里所有的一切都与我们这个世界相反。例如太阳会西边升起,从东边落下……但基本上没有任何其它东西会改变,我们只要把左边和右边的概念对换一下就会跟我们身处的这个世界没有任何区别。在这种情景下,我们说宇称(P)是守恒的。现在,我们继续试想一下一个由反物质构成的反世界,如果在反世界里的物理定律与我们这个世界完全一样,那么我们说电荷共轭(C)是对称的。
后来,我们发现在某些情况下,C和P对称都被破坏了。之后,科学家也找到了在弱相互作用中,CP对称(物理定律在宇称和电荷共轭联合操作下不变)被破坏的证据。现在的问题是,支配弱相互作用的电弱理论(EWT)和支配强相互作用的量子色动力学(QCD)是非常相似的。理论上,CP破坏是可以发生在强相互作用下的,但目前在实验中我们还没有发现任何CP破坏的证据。在强相互作用的方程中,有一个角度 θ(代表了CP破坏的量)可以取任何值。但是 θ 的值非常小——甚至有可能为零——表明CP对称有可能在强相互作用中守恒。

QCD的拉格朗日密度。在 θ 不为零的情况下,强相互作用允许CP对称的破坏。
为什么CP破坏只发生在弱相互作用,而不发生在强相互作用中?我们还不知道。
▶ 解决方案:SMASH模型、Peccei–Quinn理论、Nelson-Barr机制。

为什么真空的能量密度那么低?
1917年,为了描述一个静态的宇宙,爱因斯坦在场方程中引进了一个额外的常数项,称为宇宙学常数,它提供了抵抗引力的排斥作用。然而,当哈勃发现宇宙正在膨胀的时候,爱因斯坦认为这是他一生中犯的最大的错误。而现在看来,这个“错误”或许有着更深的含义。

爱因斯坦为了描述静态的宇宙在场方程中引入了宇宙学常数(Λ)。事实上,宇宙学常数有两种方式可以出现在场方程中,在左边时它充当了几何项,而在右边时它则充当了真空中的能量密度。
根据量子力学,真空本身会有微小的涨落,这些涨落会产生能量。物理学家认为量子真空能量可以充当宇宙学常数的角色。但是,基于量子力学计算的真空能量的值远高于实际观测到的能量密度——高出120个数量级,这个结果被惊叹为“物理学史上最糟糕的理论预测”。这便是宇宙学常数问题。
▶ 解决方案:多重宇宙、循环宇宙。

导致宇宙加速膨胀的幕后推手是什么?
1998年,两个独立的天文小组通过对遥远的超新星爆发的测量得出了一个惊人的结论:宇宙不仅在膨胀,而且是在加速膨胀!科学家把造成加速膨胀的幕后推手称为“暗能量”。但究竟什么是暗能量?科学家对它的本质一无所知。我们只知道,暗能量占据了宇宙总质量和能量的68.3%。了解宇宙膨胀得多快非常重要,因为它能帮助我们更好地理解宇宙如何运作、宇宙的最终命运,以及宇宙的构成。

科学家通过超新星、星系团、引力透镜和重子声学振荡来探索宇宙的膨胀历史。| 图片来源:Sandbox Studio, Chicago
▶ 解决方案:宇宙学常数、标量场、第五种力、修正引力。

为什么不同方法测量出的哈勃常数值不一致?
测量哈勃常数是宇宙学家最重要的任务之一,对它的精确测量能让我们知道宇宙究竟膨胀得有多快。然而,在过去五年中,宇宙学家开始意识到,两种主要的测量方法得到的哈勃常数并不一致!这是很令人意外的,因为这两种测量方法都已经相当成熟了。这是目前宇宙学所面临的最大矛盾。

测量哈勃常数(H₀)的三种方式:微波背景辐射(H₀=67km/s/Mpc)、双中子星合并(H₀=70km/s/Mpc)、宇宙距离阶梯(H₀=73km/s/Mpc)。双中子星合并所测量的值恰好在其它两种方法之间,但由于这只是一次性事件,因此误差远大于另外两种。| 图片来源:DOI:10.1038/nature24471
▶ 解决方案:引力波、新宇宙学模型。

什么是暗物质?
地球绕着太阳旋转,它的速度取决于距离、太阳的质量和引力强度。这里并不需要用到复杂的广义相对论,只要用牛顿引力就可以计算出。以太阳系为例,离太阳越远,行星的运动速度越慢。同样的定律也可以被应用在遥远的星系团中。在星系团中的单独星系会绕着共同的质心运动。在1930年代,天文学家弗里茨·兹威基发现在后发星系团中,外层的星系运动速度远远超过了星系团质量所允许的。到了1970年代,薇拉·鲁宾在类似银河系的螺旋星系中发现了同样的现象,并推断在星系中应该存在着大量看不见的物质。
虽然我们看不见这些“暗物质”,但是我们可以观测和测量它的引力效应,它的数量大约是普通物质(比如行星、恒星、气体等)的5到6倍。在宇宙的138亿年的演化过程中,它对星系、星系团和大尺度结构的形成至关重要。但究竟什么是暗物质?我们并不知道。通过天文观测,我们可以推测出暗物质不发光、不反射、也不吸收光。

两个星系团间的碰撞合并成一个更大的星系团。这被认为是暗物质的强有力证据。| 图片来源:NASA
▶ 解决方案:SMASH模型、WIMP、惰性中微子、超对称理论、卡鲁扎-克莱因暗物质、第五种力、修正引力,超流体等。

为什么中微子有质量?
在宇宙中,有一种叫做中微子的粒子。它们以接近光的速度在空间中传播,几乎不与物质发生作用,因此它们也被称为“幽灵粒子”。中微子共有三种“味”:电子,μ子和τ子。根据标准模型的预测,它们应该是没有质量的。但是在1998年,物理学家却意外地发现,中微子在传播的过程中会从一种”味“转换成另一种”味“。而这只有当中微子具有质量才有可能发生。事实上,正是中微子拥有的这微不足道的质量,证明了我们需要一个超越标准模型的理论来解释它的质量问题。

三种中微子。| 图片来源:Johan Jamestad
▶ 解决方案:SMASH模型、额外维度。

SMASH模型全称为“Standard Model Axion See-saw Higgs portal inflation,它可以同时解决物理学中的五大难题。| 图片来源:APS

落入黑洞的信息发生了什么?
黑洞拥有者无比强大的引力,无论任何东西,只要进入了黑洞的事件视界都无法再逃脱。1970年代的时候,霍金在思考与黑洞相关的问题时发现,如果把量子力学也考虑进来,一切都会发生变化。刚才我们说过,真空中充满了量子涨落,这意味着粒子和反粒子对会不断地在真空中出现,并在眨眼之间相互湮灭消失。当这发生在事件视界附近的时候,有一种结局是粒子和反粒子对会被分开,其中一个会落入事件视界内,而另一个则会携带些许质量逃离黑洞,使它们永远不可能相遇并湮灭。这对于远处的观测者而言,黑洞就好像是在辐射一样。辐射会使黑洞失去质量并且变得越来越小,直到黑洞完全蒸发殆尽。

在事件视界边缘产生的粒子-反粒子对。A:一对光子相互湮灭;B:其中一个光子落入黑洞,另一个逃逸。| 图片来源:Christoph Adami
现在,让我们试想一个简单的思想实验:将一本书丢进黑洞。书中携带着信息,可以是关于物理的,也可以是一本浪漫的爱情小说。但就目前所知,无论是什么掉进黑洞,释放出来的霍金辐射都是一样的。我们无法根据逃离的粒子重建书上的信息。显然,信息随着黑洞蒸发会完全丢失。但如果是这样,它就违反了量子力学的核心原理。
也许你会想,难道信息不会随着霍金辐射一起出来吗?问题就在于黑洞内的信息是不能跑出来的,因此唯一的可能就是霍金辐射里复制了书中的信息。这样就有两份信息,一份在黑洞外,一份在黑洞里面,不过这也违反了量子理论。
黑洞信息丢失悖论的诞生使我们面临着一个尖锐的矛盾:要么对量子力学进行修正,允许信息丢失;要么修正广义相对论,允许信息从黑洞内部逃逸出来。到目前为止,我们并不知道答案是什么,或许只有等到量子引力的出现,才能最终解决这个问题。
▶ 解决方案:互补原理、全息原理、ADS/CFT对偶、火墙、ER=EPR、软毛理论。

我们是否无意中控制了所有事情的发生?
在日常生活中,如果我们想知道一个物体的位置,只需要知晓其纬度、经度、和高度即可。但在量子世界中,仅有这三个数字是远远不够的。为了描述一个电子的位置,你需要遍布在整个空间里的无穷多个数字。这种数字的无限集合被称为“波函数”。用来描述波函数会如何在空间中传播的方程,叫薛定谔方程。
但是,波函数的确非常奇怪。它为什么需要这么多的信息,要动用遍布在整个空间的无穷多个数,来描述一个物体的位置?令人费解的是,当我们真正去寻找电子时,它却只出现在一个位置上。而当找到电子之后,更奇怪的事情发生了:电子的波函数会暂时停止遵从薛定谔方程。相反的,它会“坍缩”,除了在找到电子的位置,其余所有无穷个数字都会变为零。

在进行测量后,粒子会坍缩在随机的一个点上。| 图片来源:Iceberg Fernandez
所以,究竟什么是波函数?为什么它们只在有些时候遵从薛定谔方程?明确地说,为什么它们只在没人“看着”的时候遵从薛定谔方程?这些悬而未决的问题在量子物理学的中心戳出了一个洞。最后一个问题尤其“臭名昭着”,还被有赐予了一个特殊的名称:“测量问题”。 测量问题似乎应该阻碍量子物理学的发展。“观看”或“测量”究竟是什么意思?这是否意味着我们是现实的共同制造者?对此,物理学家并没有统一的看法。
▶ 解决方案:多重宇宙。

空间和时间的本质是什么?
亨利·庞加莱曾经说过:“三维语言看起来比四维更加适合用来描述我们的世界。”在1917年时,物理学家保罗·埃伦费斯特也曾写过一篇富有启发性的论文。在文章中他枚举了许多证据证明三维是描述我们这个世界最完美的维度。如果再加上时间维度,就是我们熟悉的四维时空。但是时空真的只有四维吗?如果是,为什么恰好是四维的?一个真正令人满意的理论应该能够提供一个合理的解释。另外,我们也想要解释为什么时间只有一个坐标?
还有一个深刻的问题是,时空的起源是什么?有一些理论推测,或许我们可以从一些更基本的框架中推导出时空。或许时空是从一些更深层次的量子现象中产生的,那么时空的量子本质是什么?

Amplituhedron,一种新发现的数学对象,类似于在更高维度中的多面体宝石。它大大简化了粒子间相互作用的计算,并且向时空是现实世界中的基本成分这一概念发起挑战。| 图片来源:Andy Gilmore
▶ 解决方案:全息理论、Amplituhedron、量子泡沫。
到目前为止,还没有任何一个理论能够作为万有理论解决所有的问题,这其中也是因为这些候选理论极难被实验验证。而即使有一天我们成功的找到了一个万有理论,它也可能不是终极理论。如果我们能够从过去在寻求统一的道路中学习到些什么,那就是每一次把不同理论结合在一起的时候我们都会学到新的东西。这也正是统一能够给我们带来最大的惊喜。
本文转载自公众号“新原理研究所”