
夏天到了,除了窗子外整天都有的蝉鸣,看起来一成不变的大太阳,每次都让人感慨科技发展真好的空调以外,不得不提的是吃瓜大业。
西瓜产业
怎么说呢,小编的大业这俩字并没有夸张。在联合国粮食和农业组织的统计数据中,2016年全球西瓜总产量为 1.11 亿吨,而那一年的中国西瓜产量为 0.792 亿吨。放张产量图给大家感受一下

2000-2016年西瓜平均产量图,中国一枝独秀,领跑全世界
在其统计数据中,也有按照大洲来划分西瓜的产量,靠着中国的庞大体量,圆饼图里看到的份额几乎都是亚洲的。

继续带领着亚洲人民领跑全世界
为了解决人民日益增长的美好生活需要和不平衡不充分的发展之间的矛盾,中国最近每年都生产出越来越多的西瓜。不知道爱吃瓜的你有没有感受到啊?

2000-2016年中国西瓜产量连年增长,纵轴单位是吨
人们为什么这么爱吃瓜?
说到人们为什么这么爱吃瓜,就不得不提到西瓜的演变历史。
类似于常见西瓜的“苦西瓜”,所有部分均有毒,可以用做杀虫剂
西瓜最早是一种野生的植物,原产于非洲的东北部。在公元前2000多年前的古埃及法老墓中就发现了西瓜的种子,当时的人们就已经开始种植西瓜了。随着时间的推移,西瓜的传播范围也越来越广,公元7世纪,西瓜传入印度,公元10世纪,西瓜进入了中国(学界对中国西瓜的来源还有争论)。
在17世纪的时候,西瓜作为一种小型园(bu)林(hao)作(chi)物(de)在欧洲被广泛的种植。得益于当时人们精湛的画技,我们得以一睹彼时西瓜的……音容笑貌。

Giovanni Stanchi 17世纪的绘画作品中截取出来的西瓜的样子

Albert Eckhout (1610-1666) Brazilian fruits

Raphaelle Peale, “Melons and Morning Glories” (1813)

Agostinho José da Mota, “Papaya and watermelon” (1860)
看着也不好,吃着也不甜,果肉中间甚至还有巨大的空心,不知道古人是怀抱着怎么样的心情和毅力,一步一步把西瓜培育我们现在吃的又大又甜的样子的。
回到中国,因为西瓜的栽培方式较为单一,只有露地栽培一种方式,集约费工的设施栽培方式未能推广应用,这真的很适合讲究精耕细作的中国人了。
怎么挑选一个好瓜
好好好知道你们好不容易看到这里,大家买瓜的时候都想挑一个好瓜,所以到底知道一个瓜好不好?
尝一口不就知道了?
虽然这个想法的原理很简单,也很公平公正客观……但是在现实生活中你如果真的这么做了,怕是要被水果摊的老板们打一顿。
这种时候我们就只能用祖传下来的方法——拍拍瓜皮,听听西瓜的声音。声音较为沉闷的是好瓜,声音较为清脆的则是生瓜。
什么?小编你是不是在骗我们,这真的不是故弄玄虚的东西,小贩们专门弄出来骗人的?
对不起,这还真的不是。作为无损检测西瓜成熟度的手段,这种敲击实验已经是最为科学的方法了。
西瓜的内部结构分为瓜皮和瓜瓤,从结构上来看,发源于不同部位的西瓜各部分力学性质差距很大。在西瓜成熟的过程中,瓜皮的硬度和弹性模量(就是大家熟知的弹性)越来越好瓜皮变得越来越皮,瓜瓤内部在纤维素酶的作用下,西瓜内部的纤维素被降解,有些细胞甚至脱离了纤维素编织的网脱离出来,成了分散的细胞,从而瓜瓤弹性模量变得越来越小。

太空中的球形奶牛
为了有一个定量的可以分析的结论,我们可以假设西瓜是一个真空中的球(…不许笑!),其结构为一个多层球状弹性体。这样我们在考虑敲击西瓜的拉压形变时,根据轴对称性,只需要考虑一个方向的振动方程。
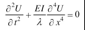
如果不需要追求具体系数,我们甚至可以把整个西瓜假设成一个杆(西瓜:哭了),利用牛顿力学和材料力学可推出杆的振动方程为

其中 U 为横向位移,E 为杨氏模量,I 为绕垂直于杆并通过横截面形心的轴的惯量矩,λ 为单位长度的质量,想要具体了解的人可以去搜索动态法测量杨氏模量实验

对于同样的一根弦有好多的振动模式,我们通过把振动展开为不同的振动模式来求解振动方程
经过分离变量法等一系列不算复杂的计算(真的不复杂!请相信小编!),我们可以得到

所以重头戏来了!
我们得到了西瓜成熟度公式!
对于一样重的瓜,我们只需要,敲一敲他们,听听声音就能知道哪个瓜更熟了!
当然,科研工作者们早就尝试过这一套理论,并且做了实验划了个标准:
振动频率大于 189Hz 为“生”瓜
振动频率 160Hz - 189Hz 为“适熟”瓜
振动频率 133Hz - 160Hz 为“熟”瓜
振动频率小于 133Hz 为“过熟”瓜
事情到这一步,应该已经差不多了,然而小编作为一个木耳丝毫没有音乐细胞根本听不出来声音频率大小的人依旧很绝望,决定在手机上下载一个 FFT(快速傅里叶变换) 的软件,帮我来判断这个西瓜的音调到底有多高。
在应用商店内直接搜索 FFT 应该都能找到应用可以下载使用,这里是小编在随便哼哼的声音
所谓傅里叶变换,就是把一段信号按照频率进行分解,这样就能看到声音中主要成分是什么频率了。
下次你们出去买瓜,如果看到有人拿着手机,神神叨叨地拍拍每个西瓜,嘴里还在念叨着189160133的时候,千万不要嘲笑他们……
他们只是想在这个夏天吃上一个好瓜……
原创:Cloudiiink
参考链接:
1. http://www.fao.org/faostat/zh/#data/QC/visualize
2.https://hyperallergic.com/226096/the-evolution-of-the-watermelon-captured-in-still-lifes/
3. 赵杰文, 孙永海. 现代食品检测技术[M]. 2005.
4. 王坚. 历史回顾与问题讨论——关于我国西瓜甜瓜发展具有明显中国特色问题的探讨[J]. 中国瓜菜, 2016, 29(08):61-62.
5. https://www.guokr.com/question/229234/
6. 肖珂, 高冠东, 滕桂法等. 西瓜成熟度音频无损检测技术[J]. 黑龙江:农机化研究, 2008, 8: 152-155
来源:中科院物理所(ID:cas-iop)