导读:很多同学在学机器学习和深度学习的时候都有一个感受:所学的知识零散、不系统,缺乏整体感,这是普遍存在的一个问题。在这里,SIGAI对常用的机器学习和深度学习算法进行了总结,整理出它们之间的关系,以及每种算法的核心点,各种算法之间的比较。由此形成了一张算法地图,以帮助大家更好的理解和记忆这些算法。
如果你对这张图感兴趣,可在公众号后台回复算法地图,得到下载地址,用作电脑桌面是非常不错的,绝对有逼格!
本文转载自机器学习原创文章分享平台SigAI(ID:SIGAICN)
下面先看这张图:

▲图片来自于SIGAICN
图的左半部分列出了常用的机器学习算法与它们之间的演化关系,分为有监督学习,无监督学习,强化学习3大类。右半部分列出了典型算法的总结比较,包括算法的核心点如类型,预测函数,求解的目标函数,求解算法。
理解和记忆这张图,对你系统化的掌握机器学习与深度学习会非常有帮助!
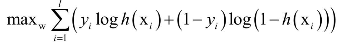
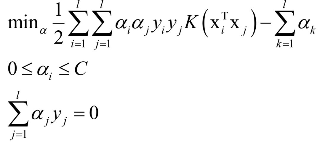
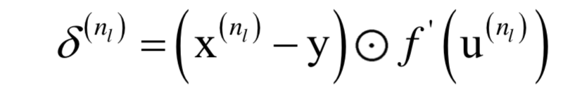
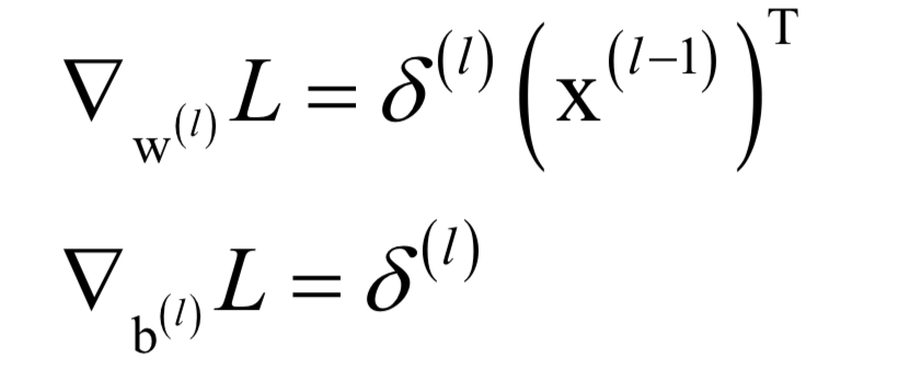
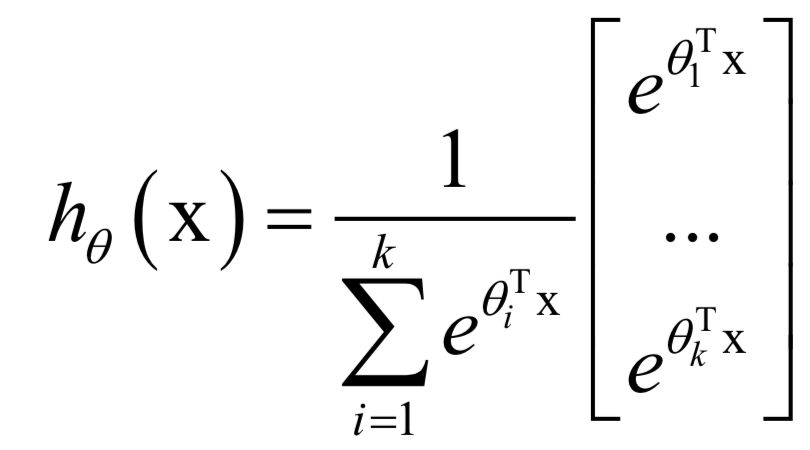
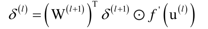
我们知道,整个机器学习算法可以分为有监督学习,无监督学习,强化学习3大类。除此之外还有半监督学习,但我们可以把它归到有监督学习中。算法的演变与发展大多在各个类的内部进行,但也可能会出现大类间的交叉,如深度强化学习就是深度神经网络与强化学习技术的结合。 根据样本数据是否带有标签值(label),可以将机器学习算法分成有监督学习和无监督学习两类。如果要识别26个英文字母图像,我们要将每张图像和它是哪个字符即其所属的类型对应起来,这个类型就是标签值。 有监督学习(supervised learning)的样本数据带有标签值,它从训练样本中学习得到一个模型,然后用这个模型对新的样本进行预测推断。它的样本由输入值x与标签值y组成: 其中x为样本的特征向量,是模型的输入值;y为标签值,是模型的输出值。标签值可以是整数也可以是实数,还可以是向量。有监督学习的目标是给定训练样本集,根据它确定映射函数: 确定这个函数的依据是函数能够很好的解释训练样本,让函数输出值f(x)与样本真实标签值y之间的误差最小化,或者让训练样本集的对数似然函数最大化。这里的训练样本数是有限的,而样本所有可能的取值集合在很多情况下是一个无限集,因此只能从中选取一部分样本参与训练。 日常生活中的很多机器学习应用,如垃圾邮件分类,手写文字识别,人脸识别,语音识别等都是有监督学习。这类问题需要先收集训练样本,对样本进行进行标注,用标注好的训练样本训模型,然后根据模型对新的样本进行预测。 无监督学习(unsupervised learning)对没有标签的样本进行分析,发现样本集的结构或者分布规律。无监督学习的典型代表是聚类和数据降维。 强化学习是一类特殊的机器学习算法,它根据输入数据确定要执行的动作,在这里。输入数据是环境参数。和有监督学习算法类似,这里也有训练过程中。在训练时,对于正确的动作做出奖励,对错误的动作做出惩罚,训练完成之后就用得到的模型进行预测。 在有监督学习算法中,我们列出了5个分支: 分别是决策树,贝叶斯,线性模型,kNN,LDA(线性判别分析),集成学习。LDA也可以归类到线性模型中,但因为它是一种有监督的投影技术,我们单独列出。 决策树是一种基于规则的方法,它的规则是通过训练样本学习得到的,典型的代表是ID3,C4.5,以及分类与回归树。 集成学习是机器学习中一类重要的算法,它通过将多个简单的模型进行集成,得到一个更强大的模型,简单的模型称为弱学习器。决策树与集成学习算法相结合,诞生了随机森林,Boosting这两类算法(事实上,Boosting算法的弱学习器不仅可以用决策树,还可以用其他算法)。 线性模型是最大的一个分支,从它最后衍生除了一些复杂的非线性模型。如果用于分类问题,最简单的线性模型是线性回归,加上L2和L1正则化项之后,分别得到岭回归和LASSO回归。对于分类问题,最简单的是感知器模型,从它衍生出了支持向量机,logistic回归,神经网络3大分支。而神经网络又衍生出了各种不同的结构。包括自动编码器,受限玻尔兹曼机,卷积神经网络,循环神经网络,生成对抗网络等。当然,还有其他一些类型的神经网络,因为使用很少,所以在这里不列出。 kNN算法基于模板匹配的思想,是最简单的一种机器学习算法,它依赖于距离定义,而距离同样可以由机器学习而得到,这就是距离度量学习。 贝叶斯也是有监督学习算法中的一个大分支,最简单的是贝叶斯分类器,更复杂的有贝叶斯网络。而贝叶斯分类器又有朴素贝叶斯和正态贝叶斯两种实现。 接下来说无监督学习,它可以分为数据降维算法和聚类算法两大类。演变关系如下图所示: 无监督的降维算法可以分为线性降维和非线性降维两大类。前者的典型代表是主成分分析(PCA),通过使用核技术,可以把它扩展为非线性的版本。流形学习是非线性降维技术的典型实现,代表性的算法有局部线性嵌入(LLE),拉普拉斯特征映射,等距映射,局部保持投影,它们都基于流形假设。流形假设不仅在降维算法中有用,在半监督学习、聚类算法中同样有使用。 聚类算法可以分为层次距离,基于质心的聚类,基于概率分布的距离,基于密度的聚类,基于图的聚类这几种类型。它们从不同的角度定义簇(cluster)。基于质心的聚类典型代表是k均值算法。基于概率分布的聚类典型代表是EM算法。基于密度的聚类典型代表是DBSCAN算法,OPTICS算法,Mean shift算法。基于图的聚类典型代表是谱聚类算法。 强化学习是机器学习中的一个特殊分支,用于决策、控制问题。这类算法的演变关系如下图所示: 整个强化学习的理论模型可以抽象成马尔可夫决策过程。核心任务是求解使得回报最大的策略。如果直接用动态规划求解,则有策略迭代和价值迭代两类算法。他们都要求有精确的环境模型,即状态转移概率和奖励函数。如果做不到这一点,只能采用随机算法,典型的代表是蒙特卡罗算法和时序差分算法。强化学习与深度学习相结合,诞生了深度强化学习算法,典型代表是深度Q网络(DQN)以及策略梯度算法(策略梯度算法不仅可用神经网络作为策略函数的近似,还可以用其他函数)。 下面我们来分别介绍每种算法的核心知识点以及它们之间的关系。 01 有监督学习 先看有监督学习算法,它是当前实际应用中使用最广的机器学习算法。进一步可以分为分类问题与回归问题两大类。前面说过,有监督学习算法的预测函数为: 即根据输入数据x预测出输出数据y。如果y是整数的类别编号,则称为分类问题;如果y是实数值,则为回归问题。 1. 贝叶斯分类器 分类问题中样本的特征向量取值x与样本所属类型y具有因果关系。因为样本属于类型y,所以具有特征值x。分类器要做的则相反,是在已知样本的特征向量为x的条件下反推样本所属的类别y。根据贝叶斯公式有: 只要知道特征向量的概率分布p(x),每一类出现的概率p(y),以及每一类样本的条件概率p(x|y),就可以计算出样本属于每一类的概率p(y|x)。如果只要确定类别,比较样本属于每一类的概率的大小,找出该值最大的那一类即可。因此可以忽略p(x),因为它对所有类都是一样的。简化后分类器的判别函数为: 训练时的目标是确定p(x|y)的参数,一般使用最大似然估计。如果假设样本特征向量的各个分量之间相互独立,则称为朴素贝叶斯分类器。如果假设特征向量x服从多维正态分布,则称为正态贝叶斯分类器。正态贝叶斯分类器的预测函数为: 贝叶斯分类器是一种生成模型,是非线性模型,它天然的支持多分类问题。下图是正态贝叶斯分类器对异或问题的分类结果(来自SIGAI云端实验室): 2. 决策树家族 决策树是基于规则的方法,它用一组嵌套的规则进行预测,在树的每个决策节点处,根据判断结果进入一个分支,反复执行这种操作直到到达叶子节点,得到决策结果。决策树的这些规则通过训练得到,而不是人工制定的。下图是决策树的一个例子: 决策树是一种判别模型,也是非线性模型,天然支持多类分类问题。它既可以用于分类问题,也可以用于回归问题,具有很好的解释性,符合人类的思维习惯。常用的决策树有ID3,C4.5,分类与回归树(CART)等。 分类树对应的映射函数是多维空间的分段线性划分,即用平行于各个坐标轴的超平面对空间进行切分;回归树的映射函数是一个分段常数函数。决策树是分段线性函数但不是线性函数,它具有非线性建模的能力。只要划分的足够细,分段常数函数可以逼近闭区间上任意函数到任意指定精度,因此决策树在理论上可以对任意复杂度的数据进行分类或者回归。 下图是决策树进行空间划分的一个例子。在这里有红色和蓝色两类训练样本,用下面两条平行于坐标轴的直线可以将这两类样本分开(来自SIGAI云端实验室): 这个划分方案对应的决策树如下图所示: 对于分类与回归树,训练每个节点时的目标是要让Gini不纯度最小化,这等价于让下面的值最大化: 决策树训练求解时采用了枚举搜索和贪婪法的思想,找到的不一定是结构最优的树。如果想要了解决策树的原理,请阅读SIGAI之前的公众号文章“理解决策树”。 3. kNN算法 kNN算法基于以下思想:要确定一个样本的类别,可以计算它与所有训练样本的距离,然后找出和该样本最接近的k个样本,统计这些样本的类别进行投票,票数最多的那个类就是分类结果。因为直接比较样本和训练样本的距离,kNN算法也被称为基于实例的算法,这实际上是一种模板匹配的思想。 下图是使用k近邻思想进行分类的一个例子: 在上图中有红色和绿色两类样本。对于待分类样本即图中的黑色点,我们寻找离该样本最近的一部分训练样本,在图中是以这个矩形样本为圆心的某一圆范围内的所有样本。然后统计这些样本所属的类别,在这里红色点有12个,圆形有2个,因此把这个样本判定为红色这一类。上面的例子是二分类的情况,我们可以推广到多类,k近邻算法天然支持多类分类问题,它是一种判别模型,也是非线性模型。下图是kNN算法对异或问题的分类结果(来自SIGAI云端实验室): kNN算法依赖于样本距离值,常用的距离有欧氏距离,Mahalanobis距离等。这些距离定义中的参数可以通过学习得到,如Mahalanobis距离中的矩阵S,这称为距离度量学习。 4. 线性模型家族 线性模型的预测函数是线性函数,既可以用于分类问题,也可以用于回归问题,这是机器学习算法中的一个庞大家族。从线性模型中衍生出了多种机器学习算法,对于回归问题问题,有岭回归,LASSO回归;对于分类问题,有支持向量机,logistic回归,softmax回归,人工神经网络(多层感知器模型),以及后续的各种深度神经网络。 对于分类问题,线性模型的预测函数为: 其中sgn是符号函数。最简单的线性分类器是感知器算法,它甚至无法解决经典的异或问题,不具有太多的实用价值。 对于回归问题,线性模型的预测函数为: 训练时的目标是最小化均方误差: 可以证明,这是一个凸优化问题,可以得到全局极小值。求解时可以采用梯度下降法或者牛顿法。 岭回归是线性回归的L2正则化版本,训练时求解的问题为: 如果系数 LASSO回归是线性回归的L1正则化版本,训练时求解的问题为: 同样的,这是一个凸优化问题,可以用梯度下降法和牛顿法求解。 线性判别分析(LDA)是一种有监督的线性投影技术,它寻找向低维空间的投影矩阵W,样本的特征向量x经过投影之后得到的新向量y: 投影的目标是同一类样投影后的结果向量差异尽可能小,不同类的样本差异尽可能大。直观来看,就是经过这个投影之后同一类的样本进来聚集在一起,不同类的样本尽可能离得远。下图是这种投影的示意图: 训练时的求解目标是最大化类间差异与类内差异的比值: 最后归结为求解矩阵的特征值和特征向量: 如果我们要将向量投影到c-1维,则挑选出最大的c-1个特征值以及它们对应的特征向量,组成矩阵W。线性判别分析不能直接用于分类问题,它只是完成投影,投影之后还需要用其他算法进行分类,如kNN。下图是LDA降维之后用最小距离分类器分类的结果: 从这张图可以看出,决策面是直线。LDA是一种线性模型,也是判别模型,只能用于分类问题。 logistic回归即对数几率回归,它的名字虽然叫“回归”,但却是一种用于二分类问题的分类算法,它用sigmoid函数估计出样本属于某一类的概率。这种算法可以看做是对线性分类器的改进。 预测函数为: 其中为线性映射权向量,由训练算法确定。训练时的优化目标是最大化对数似然函数: 这是一个凸优化问题,可以得到全局最优解,求解时可以采用梯度下降法或者牛顿法。分类时的判断规则为: logistic回归是一种判别模型,也是线性模型,它只支持二分类问题。下图是用logistic回归进行分类的结果(来自SIGAI云端实验室): 从上图可以看到,分界面是一条直线,这也说明了它是一个线性模型。 logistic回归只能用于二分类问题,将它进行推广可以得到处理多类分类问题的softmax回归。softmax回归按照下面的公式估计一个样本属于每一类的概率: 模型的输出为一个k维向量,其元素之和为1,每一个分量为样本属于该类的概率。训练时的损失函数定义为: 上式是对logistic回归损失函数的推广。这个损失函数是凸函数,可以采用梯度下降法求解。Softmax回归是一种判别模型,也是线性模型,它支持多分类问题。 5. 支持向量机 支持向量机是对线性分类器的改进,加上了最大化分类间隔的约束,另外还使用了核技术,通过非线性核解决非线性问题。一般情况下,给定一组训练样本可以得到不止一个可行的线性分类器,下图就是一个例子: 在上图中两条直线都可以将两类样本分开。问题是:在多个可行的线性分类器中,什么样的分类器是好的?为了得到好的泛化性能,分类平面应该不偏向于任何一类,并且离两个类的样本都尽可能的远。这种最大化分类间隔的目标就是支持向量机的基本思想。支持向量机在训练时优化的目标是让训练样本尽量分类正确,而且决策面离两类样本尽可能远。原问题带有太多的不等式约束,一般转化为对偶问题求解,使用拉格朗日对偶,加上核函数之后,优化的对偶问题为: 预测函数为: 这是一个凸优化问题,可以得到全局最优解,求解时一般采用SMO算法,这是一种分治法,每次挑选出两个变量进行优化,对这两个变量的优化问题求公式解。优化变量的选择使用了KKT条件。 支持向量机是一种判别模型,既支持分类问题,也支持回归问题,如果使用非线性核,则是一种非线性模型,这从它的预测函数也可以看出来。标准的支持向量机只能解决二分类问题,通过多个二分类器组合,可以解决多分类问题,另外一种思路是直接构造多类的损失函数来解决多分类问题。下图是用支持向量机对异或问题进行分类的结果(来自SIGAI云端实验室): 6. 神经网络 人工神经网络是一种仿生方法,受启发于人脑的神经网络。从数学上看,它本质上是一个多层复合函数。如果使用sigmoid作为激活函数,它的单个神经元就是logistic回归。假设神经网络的输入是n维向量x,输出是m维向量y,它实现了如向量到向量的映射: 将这个函数记为: 神经网络第层的变换写成矩阵和向量形式为: 如果采用欧氏距离,训练时的优化目标为: 这不是一个凸优化问题,因此不能保证得到全局极小值。可以采用梯度下降法求解,因为是一个复合函数,需要对各层的权重与偏置求导,采用了反向传播算法,它从多元函数求导的链式法则导出。误差项的计算公式为,对于输出层: 对于隐含层: 根据误差项可以得到权重和偏置的梯度值: 然后用梯度下降法更新。神经网络是一个判别模型,并且是非线性模型,它既支持分类问题,也支持回归问题,并且支持多分类问题。下图是用神经网络对异或问题的分类结果(来自SIGAI云端实验室): 7. 深度神经网络家族 深度神经网络是对多层感知器模型的进一步发展,它可以完成自动的特征提取,端到端的训练,是深度学习的核心技术。可以分为自动编码器,受限玻尔兹曼机,卷积神经网络,循环神经网络,生成对抗网络这几种类型。 自动编码器用一个单层或者多层神经网络对输入数据进行映射,得到输出向量,作为从输入数据提取出的特征。在这种框架中,神经网络的前半部分称为编码器,用于从原始输入数据中提取特征;后半部分称为解码器,训练时根据提取的特征重构原始数据,它只



















,这个问题是一个严格凸优化问题,可用用梯度下降法,牛顿法求解。






















